2016年高考物理试卷(浙江)(4月)(答案)

第1页 / 共3页

第2页 / 共3页

第3页 / 共3页
已完成全部阅读,共3
2016年高考物理试卷(浙江)(4月)(答案)-初高中资料试题文库
2016年高考物理试卷(浙江)(4月)(答案)
此内容为免费资源,请登录后查看
0
免费资源
THE END
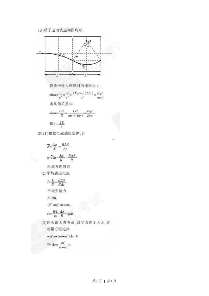
一、选择题1.C2B3.B4.A5.D6.C7D8.C9.D10.D11.C12.C13D二、选择题川14.BC15.AC16.AD三、非选择题17.(1)BC(2)BD②318.(1)(2)148-1.500.27(3)C19.(1)由运动学公式可得a==18ms=0.9m/420-x0.9x20m=180m(2)根据牛顿第二定律可得Fy-mg=mayFv=mg+ma =654N由牛顿第三定律可得小明对地板的压力FwN=Fx=654N,方向竖直向下(3)设匀速运动时间为0,运动的总时间为t,由r-4图可得第1页1共3页子tox得位620.(1)由机械能守恒定律可得E=△E=△Ep=mgh=0.05×10x0.2J-=0.1J由△=之m62可得w-2m6(2)由ExP可得△E'=E'=4E0=4mgh由动能定律可得-mg(h+h)mgl=-△Ee3h--0.5L(3)恰能通过圆环最高点须满足的条件是管由机械能守恒定律有=to=2ms得R.=0.4m当R>R=0.4m时,滑块会脱离螺旋轨道,不能上升到B点。21.D19.4042022.(1)质子在电场中做类平抛运动tat=9E Lm粒tanc==EqL质子到达区域Ⅱ右下端时,有tand=/2L+L得E=Hmg=200 V/m3L(2)质子在磁场中运动有R=m四qB根据几何关系有R2-(R-2)-L得B=mwH=5.5×10Tq(L2+4)第2页1共3页(3)质子运动轨迹如图所示。设质子进入磁场时的速率为。',sino=a=(Eq/m)(L/)EqLmov由几何关系知sing=12IBaLmv'/(Bq)2me得B=2E23.(1)根据电磁感应定律,有告9=Ar=4=B4S电流方向向右(2)平均感应电流1景器平均安培力F=BIL(下-mg)f=mo是祭-(3)以火箭为参考系,设竖直向上为正,由动量守恒定律-m'u+(m-m')△r=0得4rsm-m广第3页1共3页
喜欢就支持一下吧
点赞5 分享